PARAMARIBO - Het Ministerie van Volksgezondheid, Welzijn en Arbeid (VWA) heeft via het Ministerie van Economische Zaken, Ondernemerschap...

en Technologische Innovatie (EZOTI) kennisgenomen van een vrijwillige terugroepactie van de Nederlandse Voedsel- en Warenautoriteit (NVWA), in samenwerking met Danone, producent van Nutrilon babyvoeding.
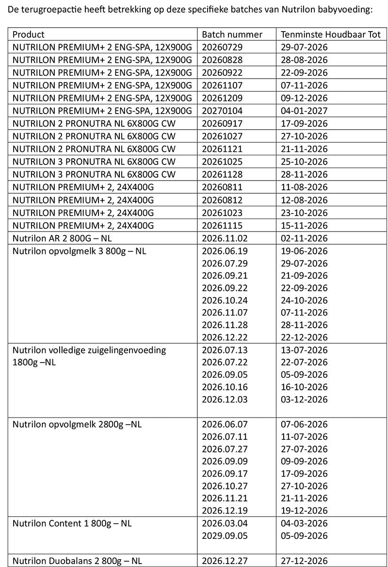
Aanleiding voor deze terugroepactie is een recente aanscherping van de grenswaarden voor de stof cereulide in babyvoeding door de Europese Autoriteit voor Voedselveiligheid (EFSA). Cereulide is een toxische stof die onder bepaalde omstandigheden kan voorkomen in voedingsmiddelen. De terugroepactie heeft betrekking op specifieke batches van Nutrilon babyvoeding zoals hieronder gespecificeerd.
Hoewel de terugroepactie formeel betrekking heeft op de Nederlandse markt, acht de Surinaamse overheid het van belang om de samenleving hierover te informeren, aangezien vastgestelde batches ook via de formele distributiekanalen in Suriname zijn geïmporteerd, meldt VWA.
De bevoegde Surinaamse autoriteiten hebben direct gehandeld, beschikken over inzicht in de betreffende batches en monitoren de situatie actief in samenwerking met de relevante instanties. Er zijn op dit moment geen meldingen van gezondheidsproblemen in Suriname. De genomen maatregelen zijn uitsluitend uit voorzorg, in het belang van de gezondheid en veiligheid van zuigelingen en jonge kinderen.
Advies aan ouders en verzorgers:
Indien u Nutrilon babyvoeding heeft aangeschaft, wordt u geadviseerd het volgende te doen:
• Controleer de verpakking op batchnummer en houdbaarheidsdatum (vervaldatum).
• Gebruik uit voorzorg geen producten die onder de terugroepactie vallen.
• Breng betreffende producten terug naar de winkel waar deze zijn aangeschaft.
Voor nadere informatie of klachten kunt u contact opnemen met:
1. De afdeling Consumentenzaken van het Ministerie van Economische Zaken, Ondernemerschap en Technologische Innovatie aan de Havenlaan 10. Whatsapp: 8530915
Email: consumentenzaken.sur@gmail.com
2.De afdeling Keuringsdienst voor voedingsmiddelen en Waren van het Bureau voor Openbare Gezondheidszorg. Rodekruislaan 15. Telefoon: 178. e-mail: keuringsdienst23@outlook.com
𝐃𝐞 𝐭𝐞𝐫𝐮𝐠𝐫𝐨𝐞𝐩𝐚𝐜𝐭𝐢𝐞 𝐡𝐞𝐞𝐟𝐭 𝐛𝐞𝐭𝐫𝐞𝐤𝐤𝐢𝐧𝐠 𝐨𝐩 𝐝𝐞𝐳𝐞 𝐬𝐩𝐞𝐜𝐢𝐟𝐢𝐞𝐤𝐞 𝐛𝐚𝐭𝐜𝐡𝐞𝐬 𝐯𝐚𝐧 𝐍𝐮𝐭𝐫𝐢𝐥𝐨𝐧 𝐛𝐚𝐛𝐲𝐯𝐨𝐞𝐝𝐢𝐧𝐠:

